我国科学家,又有新发现!

记者从中国科学院国家天文台获悉,近日,中国科学院国家天文台、中国科学院高能物理研究所、南京大学、中国科学院紫金山天文台等联合研究团队,通过对“天关”卫星探路者“莱娅”和极目卫星联合获得数据深入分析,揭示了伽马射线暴形成磁陀星的直接证据。该研究成果于日前在线发表在综述性学术期刊《国家科学评论》。
伽马射线暴(以下简称伽马暴)是宇宙大爆炸以来最为壮观的爆发现象。尽管科学家们在过去的几十年里已经探测到数千例伽马暴,但关于其起源和爆发形成的中心天体(也称中心引擎)仍存在许多未解之谜。一种理论认为,伽马暴的中心引擎可能是黑洞,通过其强大的引力快速吸积周围物质,形成吸积盘并驱动相对论喷流。另一种理论则提出,伽马暴的中心引擎可能是一颗高速自转且具有极强磁场的中子星(即磁陀星),其磁场强度是地球磁场的数万亿倍,能够释放巨大的磁能为伽马暴供能。然而,要确定伽马暴的中心引擎究竟是哪一种并非易事。科学家们需要通过多波段观测和数据分析来寻找线索。例如,一些短伽马暴的X射线余辉光变曲线中显示出平台特征,可能暗示自转周期短至毫秒的磁陀星作为中心引擎的可能性。然而,我们仍然缺乏直接的观测证据来验证这些假设。
2023年3月7日,全球众多望远镜探测到一例非常明亮而特殊的伽马暴(编号为GRB 230307A),为伽马暴中心引擎的研究带来新曙光。虽然其主暴的持续时间较长,表面上属于长伽马暴的范畴,但红外波段的观测显示其伴随着千新星的辐射,且相对于其宿主星系有较大的位置偏移,这些特征表明GRB 230307A可能源自致密星的并合。中国科学院研制的“天关”(Einstein Probe, EP)卫星探路者“莱娅”(LEIA)和“怀柔一号”极目(GECAM)卫星成功捕捉到了GRB 230307A的瞬时辐射,揭示了该伽马暴的独特性质,并首次在瞬时辐射阶段发现了磁陀星作为中心引擎的直接证据。
研究团队通过对莱娅和极目卫星联合获得的覆盖从X射线到伽马射线宽波段(500电子伏至6百万电子伏)数据的深入分析发现,GRB 230307A瞬时辐射的性质支持该暴起源于致密星的并合。尤其值得关注的是,该暴在伽马射线和X射线波段表现出截然不同的特征。具体而言,X射线辐射的持续时间要显著长于伽马射线,且其X射线的能谱与根据伽马射线能谱分布向X射线波段外推的结果存在显著的差异。特别是在伽马射线辐射消失后,X射线波段显现出由磁陀星驱动的辐射成分。
“天关”卫星万星瞳载荷科学家,莱娅负责人国家天文台正高工程师凌志兴说:“莱娅作为“天关”卫星宽视场 X 射线望远镜(WXT或万星瞳)载荷的一个实验模块,其搭载空间新技术试验卫星(SATech-01)发射具有重大意义,它为万星瞳载荷提供了在轨验证试验的机会,确保了万星瞳在实际运行中能够达到预期的性能”。
“天关”卫星首席科学家国家天文台袁为民研究员评价:“莱娅获取的科学数据极具科学价值。莱娅成功捕捉到了GRB 230307A的瞬时辐射,揭示了该伽马暴的独特性质,这一发现,不仅证实了磁陀星可作为伽马暴的中心引擎,更为研究致密天体的物态性质提供了重要的依据。”
极目卫星首席科学家、中国科学院高能物理研究所熊少林研究员说:“这是极目卫星继精确测量千年一遇的最亮伽马暴之后发现的又一个极端明亮的伽马暴。尤其值得一提的是,这个重要伽马暴首先由极目卫星发现并及时向国际天文界通报,从而开启了全球范围内的联合观测。”
据介绍,“天关”卫星是中国科学院空间科学(二期)战略性先导科技专项立项并实施的空间科学卫星系列任务之一,由中国科学院主导,欧洲空间局、马普地外物理研究所和法国国家空间研究中心参与研制。莱娅是由中国科学院国家天文台和上海技术物理研究所联合研发的“天关”卫星万星瞳载荷的实验模块。国家天文台自2011年研发龙虾眼X射线成像技术,并与北方夜视技术股份有限公司合作开发核心光学器件。中国科学院国家空间科学中心和电工研究所也参与了研制工作。莱娅所搭载的SATech-01卫星,作为新技术试验卫星系列的首星,由微小卫星创新研究院研制,并于2022年7月27日发射。“怀柔一号”极目卫星是中国科学院空间科学战略性先导科技专项研制的科学卫星,由高能物理研究所提出概念,联合微小卫星创新研究院和国家空间科学中心等单位研制。

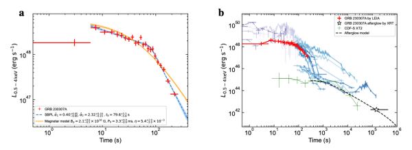
GRB 230307A的X射线光变曲线以及磁陀星作为中心引擎的模型拟合


GRB 230307A的X射线光变曲线以及磁陀星作为中心引擎的模型拟合

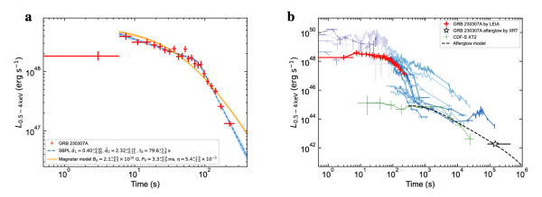
“莱娅”和极目卫星联合探测到的GRB 230307A的多波段光变曲线和能谱